Официальное опубликование правовых актов
ОФИЦИАЛЬНОЕ ОПУБЛИКОВАНИЕ
Приказ министерства архитектуры и градостроительства Воронежской области от 04.03.2026 № 45-01-04/101
"О внесении изменений в правила землепользования и застройки Селявинского сельского поселения Лискинского муниципального района Воронежской области"
(Зарегистрирован 23.03.2026 № 269)
Номер опубликования: 3601202603230005
Дата опубликования: 23.03.2026
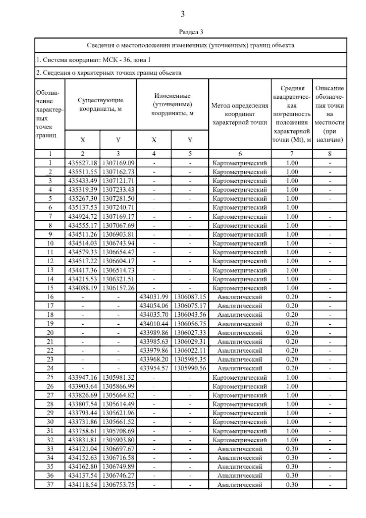
Страница №17 из 58:
Увеличить