Официальное опубликование правовых актов
ОФИЦИАЛЬНОЕ ОПУБЛИКОВАНИЕ
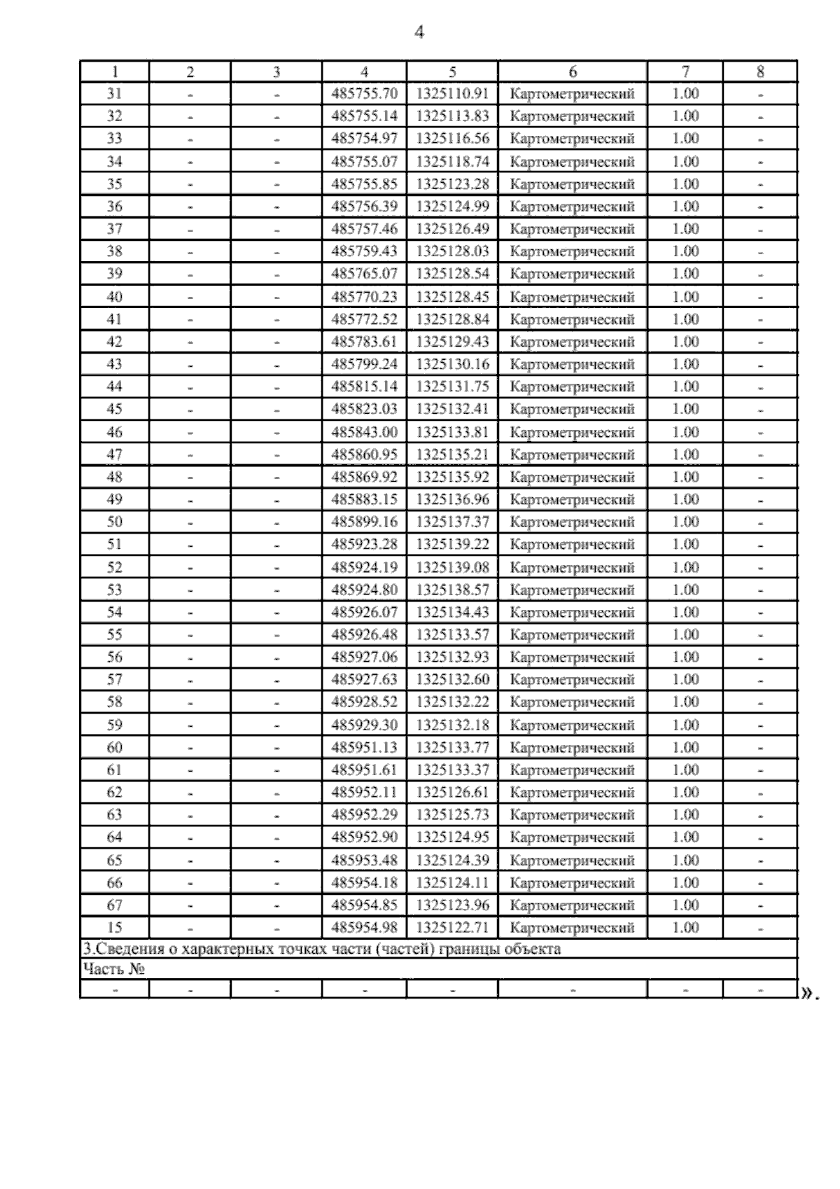
Приказ министерства архитектуры и градостроительства Воронежской области от 03.03.2026 № 45-01-04/99
"О внесении изменений в правила землепользования и застройки Каширского сельского поселения Каширского муниципального района Воронежской области"
(Зарегистрирован 23.03.2026 № 268)
Номер опубликования: 3601202603230006
Дата опубликования: 23.03.2026
Страница №15 из 30:
Увеличить