Официальное опубликование правовых актов
ОФИЦИАЛЬНОЕ ОПУБЛИКОВАНИЕ
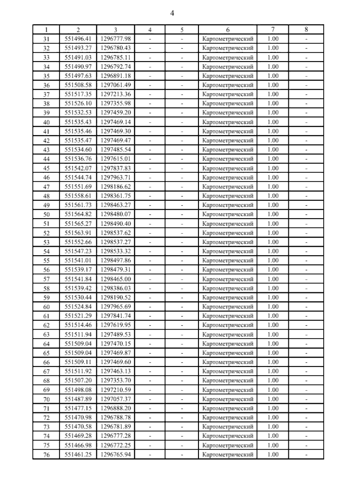
Приказ министерства архитектуры и градостроительства Воронежской области от 10.03.2026 № 45-01-04/106
"О внесении изменений в правила землепользования и застройки Комсомольского сельского поселения Рамонского муниципального района Воронежской области"
(Зарегистрирован 25.03.2026 № 284)
Номер опубликования: 3601202603260001
Дата опубликования: 26.03.2026
Страница №136 из 154:
Увеличить