Официальное опубликование правовых актов
ОФИЦИАЛЬНОЕ ОПУБЛИКОВАНИЕ
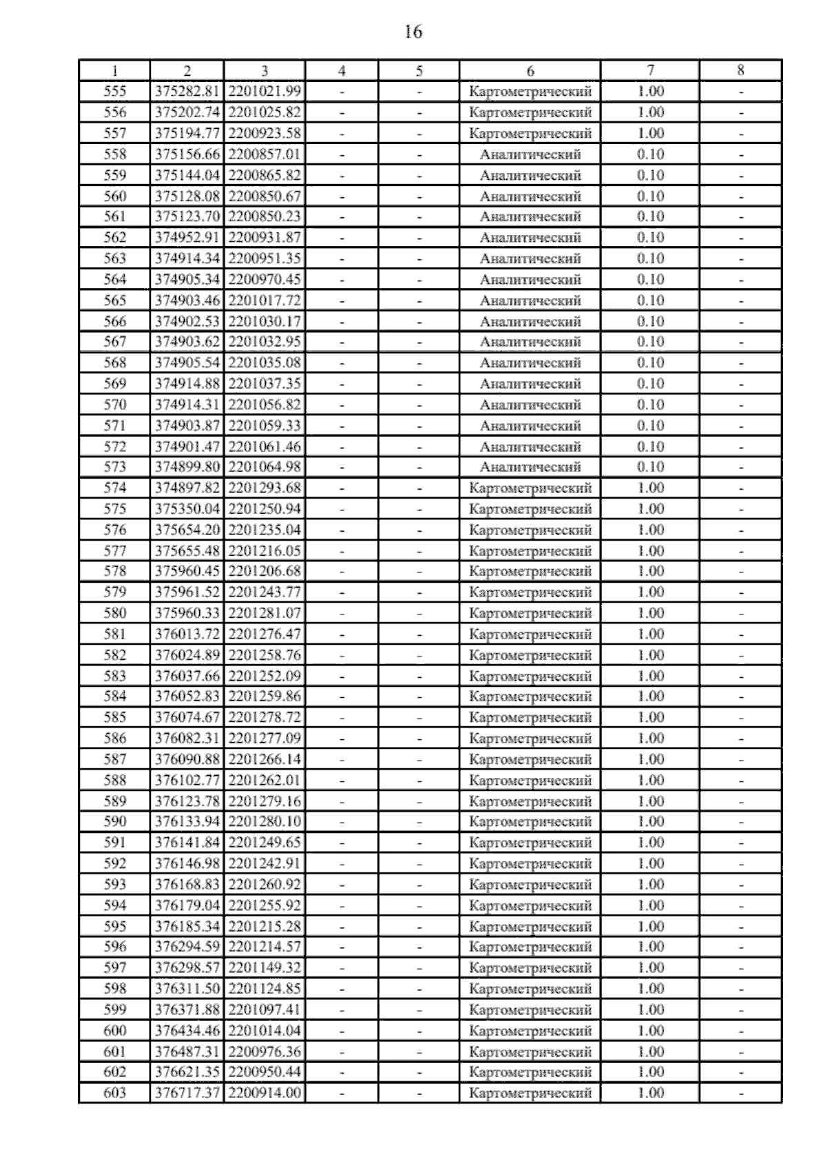
Приказ министерства архитектуры и градостроительства Воронежской области от 10.03.2026 № 45-01-04/104
"О внесении изменений в правила землепользования и застройки Меловатского сельского поселения Калачеевского муниципального района Воронежской области"
(Зарегистрирован 25.03.2026 № 283)
Номер опубликования: 3601202603260004
Дата опубликования: 26.03.2026
Страница №27 из 264:
Увеличить