Официальное опубликование правовых актов
ОФИЦИАЛЬНОЕ ОПУБЛИКОВАНИЕ
Приказ министерства архитектуры и градостроительства Воронежской области от 10.03.2026 № 45-01-04/107
"О внесении изменений в правила землепользования и застройки Александро-Донского сельского поселения Павловского муниципального района Воронежской области"
(Зарегистрирован 25.03.2026 № 285)
Номер опубликования: 3601202603260013
Дата опубликования: 26.03.2026
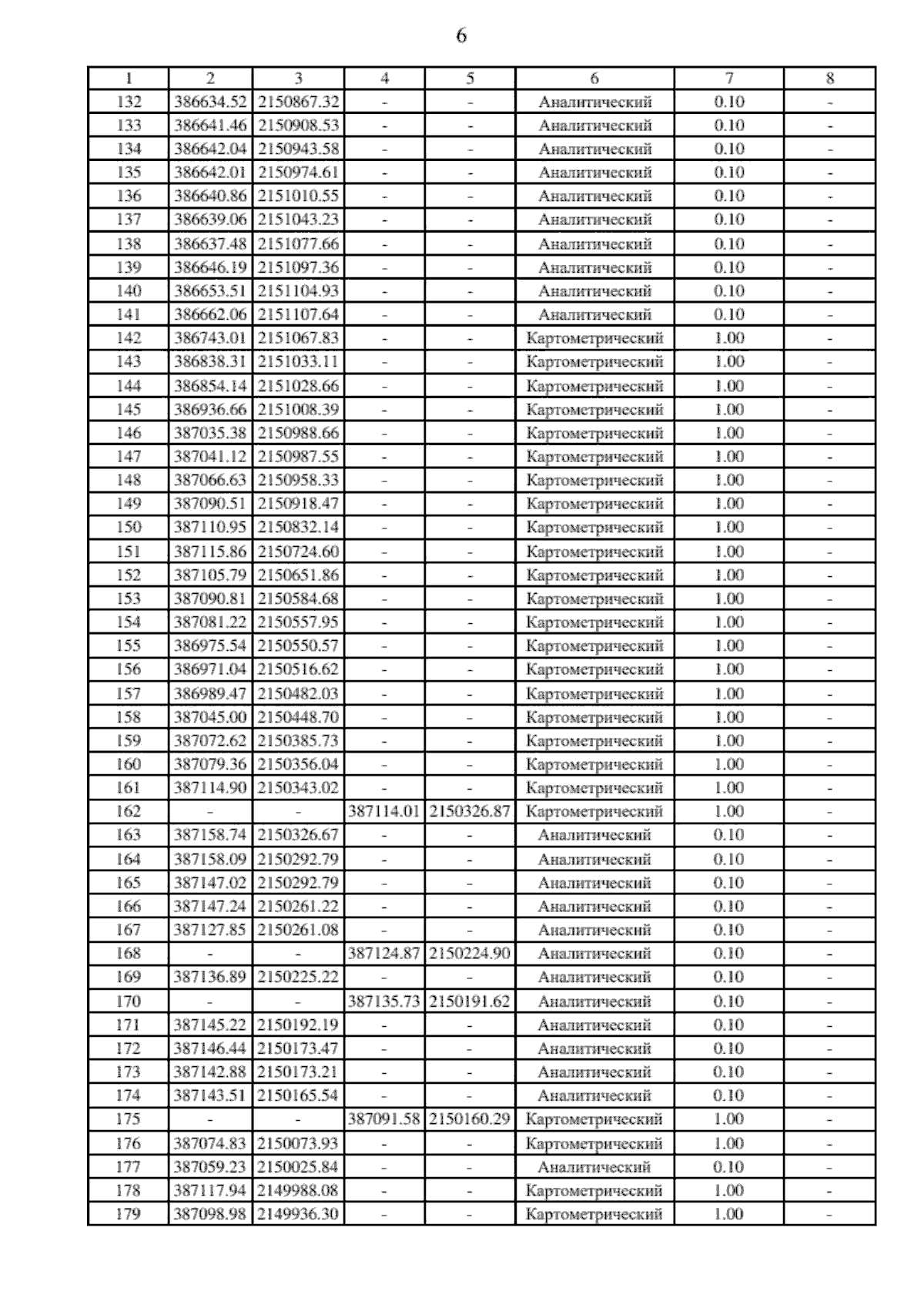
Страница №26 из 229:
Увеличить