Официальное опубликование правовых актов
ОФИЦИАЛЬНОЕ ОПУБЛИКОВАНИЕ
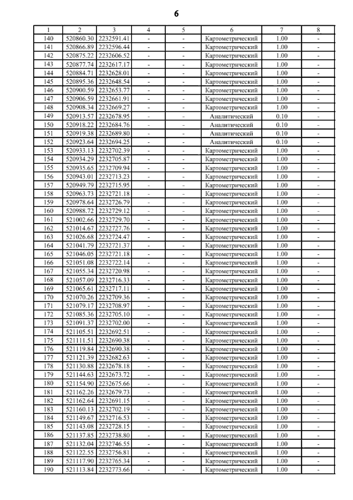
Приказ министерства архитектуры и градостроительства Воронежской области от 18.03.2026 № 45-01-04/115
"О внесении изменений в правила землепользования и застройки Тамбовского сельского поселения Терновского муниципального района Воронежской области"
(Зарегистрирован 06.04.2026 № 331)
Номер опубликования: 3601202604070003
Дата опубликования: 07.04.2026
Страница №13 из 38:
Увеличить