Официальное опубликование правовых актов
ОФИЦИАЛЬНОЕ ОПУБЛИКОВАНИЕ
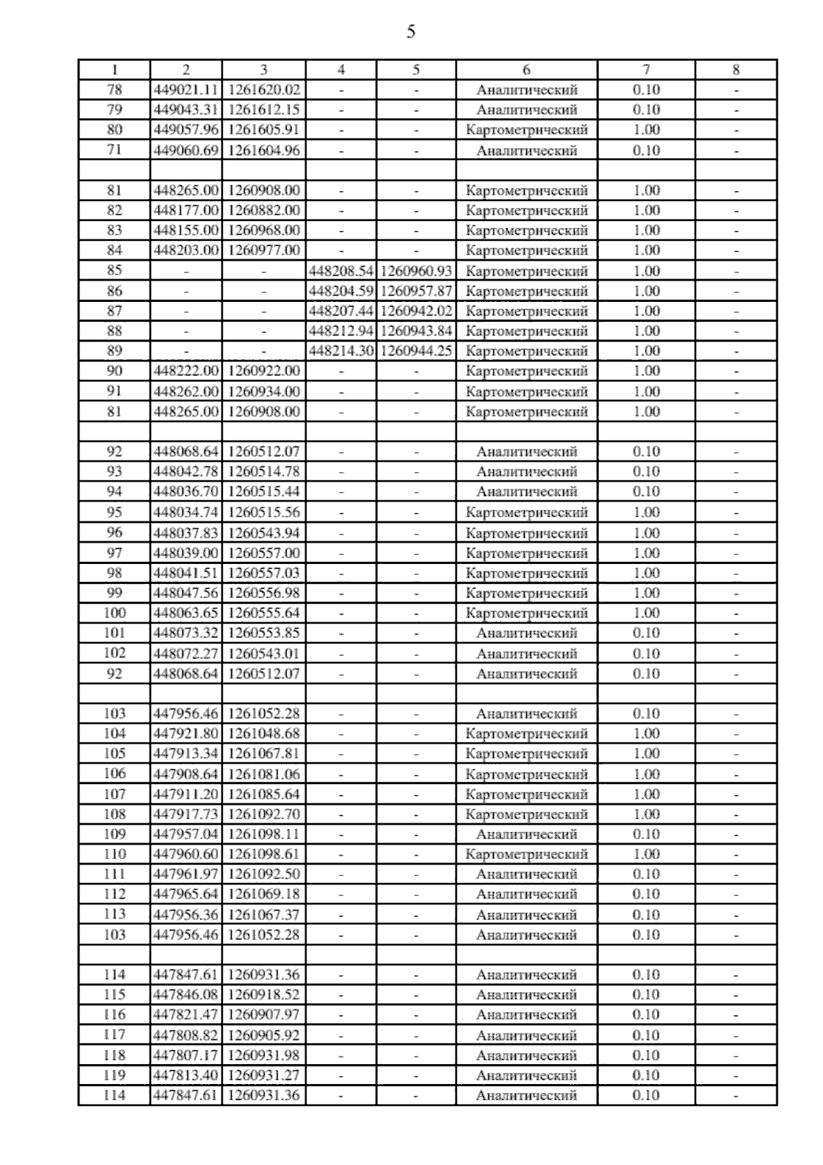
Приказ министерства архитектуры и градостроительства Воронежской области от 18.03.2026 № 45-01-04/114
"О внесении изменений в правила землепользования и застройки Репьёвского сельского поселения Репьёвского муниципального района Воронежской области"
(Зарегистрирован 06.04.2026 № 330)
Номер опубликования: 3601202604070004
Дата опубликования: 07.04.2026
Страница №47 из 131:
Увеличить