Официальное опубликование правовых актов
ОФИЦИАЛЬНОЕ ОПУБЛИКОВАНИЕ
Приказ министерства архитектуры и градостроительства Воронежской области от 19.03.2026 № 45-01-04/116
"О внесении изменений в правила землепользования и застройки Поповского сельского поселения Богучарского муниципального района Воронежской области"
(Зарегистрирован 06.04.2026 № 332)
Номер опубликования: 3601202604070005
Дата опубликования: 07.04.2026
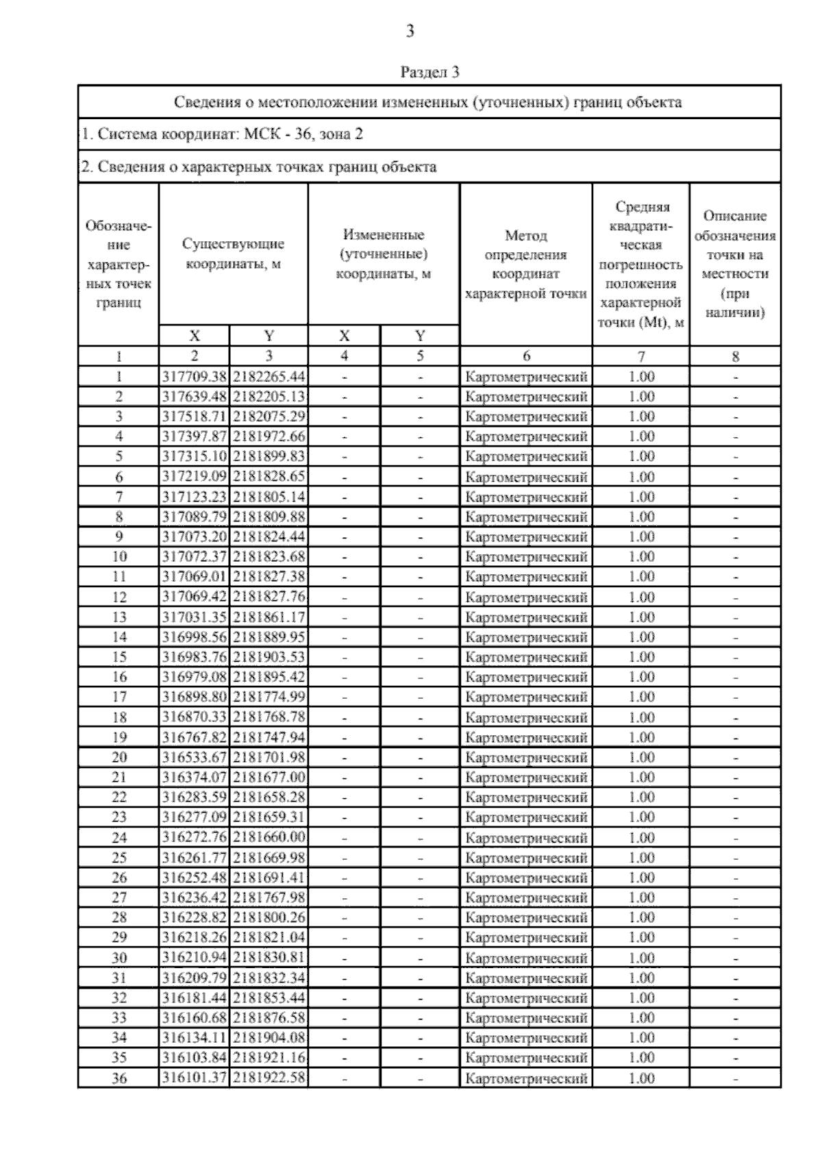
Страница №79 из 114:
Увеличить