Официальное опубликование правовых актов
ОФИЦИАЛЬНОЕ ОПУБЛИКОВАНИЕ
Приказ министерства архитектуры и градостроительства Воронежской области от 16.03.2026 № 45-01-04/111
"О внесении изменений в правила землепользования и застройки Первомайского сельского поселения Эртильского муниципального района Воронежской области"
(Зарегистрирован 06.04.2026 № 328)
Номер опубликования: 3601202604070006
Дата опубликования: 07.04.2026
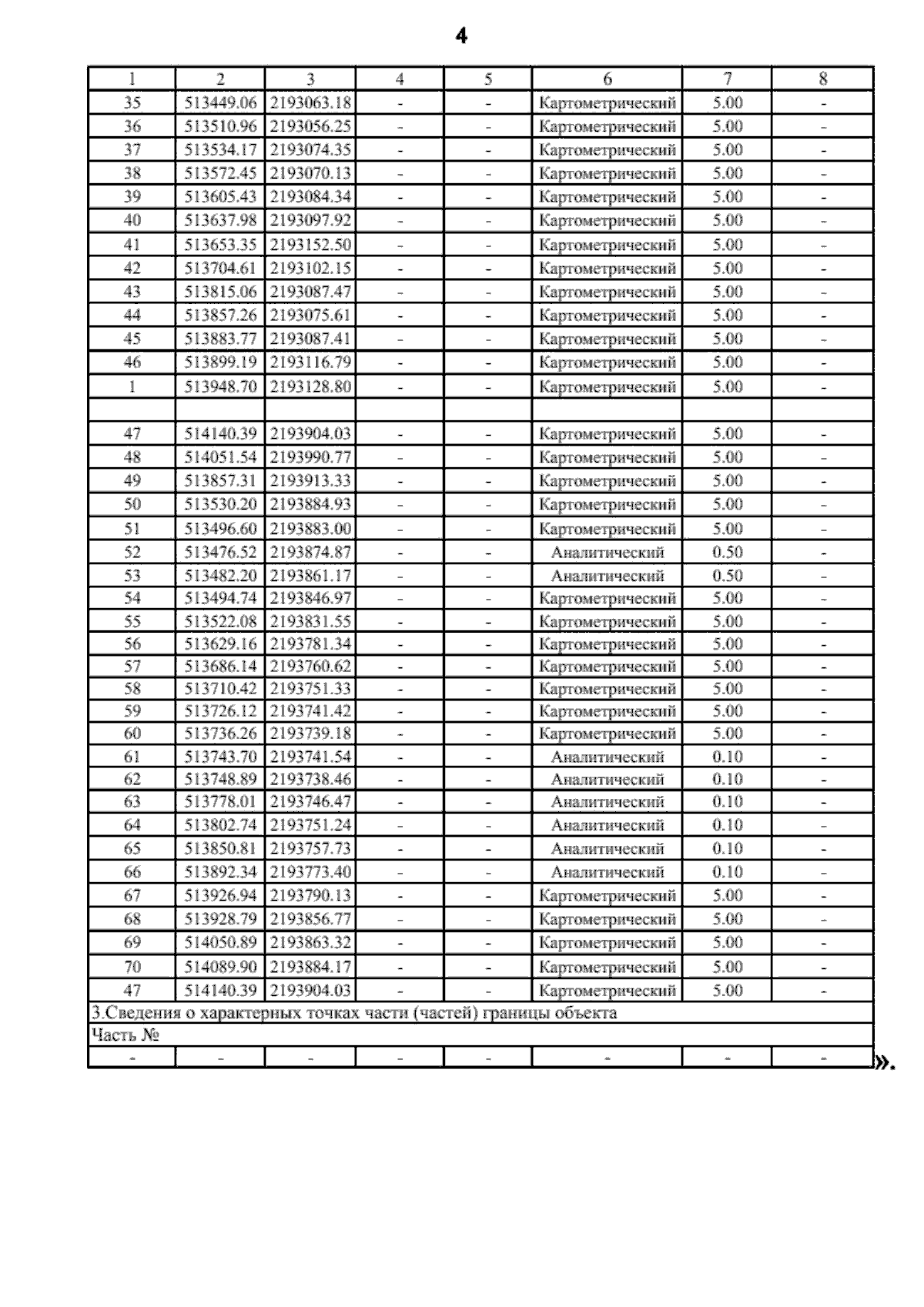
Страница №10 из 14:
Увеличить