Официальное опубликование правовых актов
ОФИЦИАЛЬНОЕ ОПУБЛИКОВАНИЕ
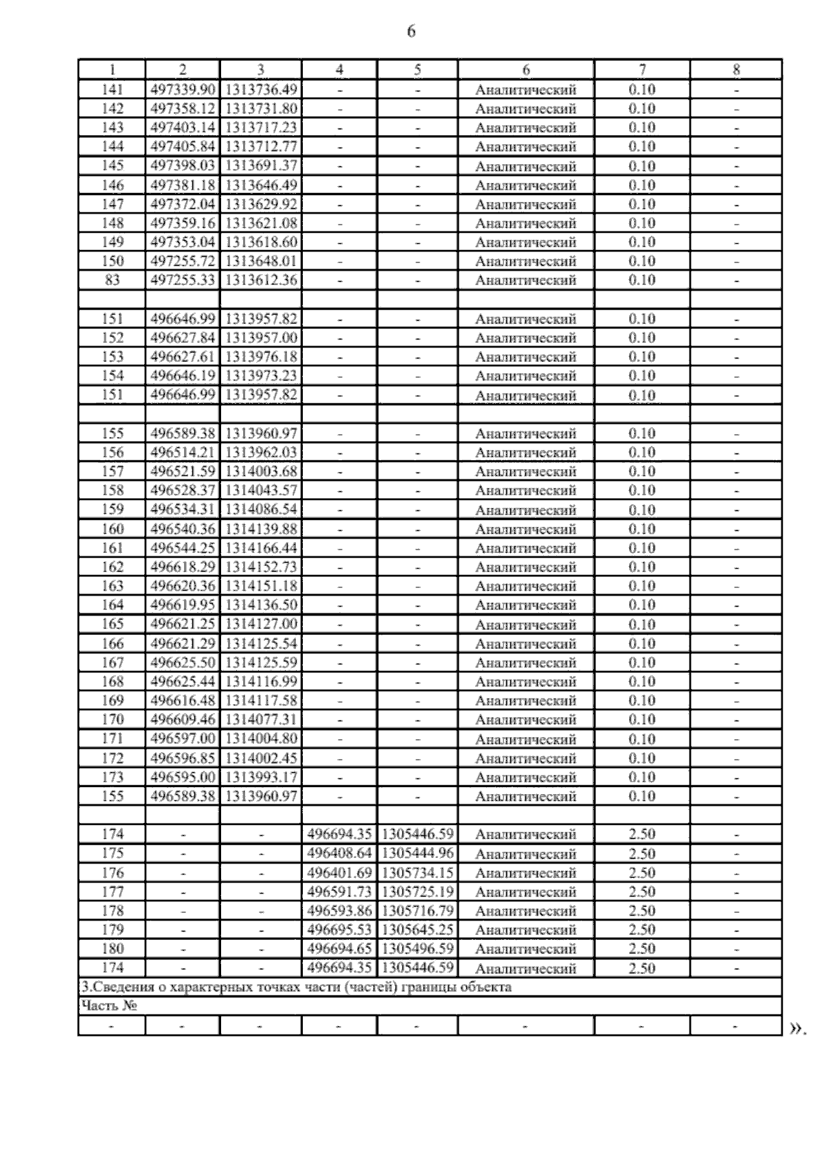
Приказ министерства архитектуры и градостроительства Воронежской области от 19.03.2026 № 45-01-04/119
"О внесении изменений в правила землепользования и застройки Никольского сельского поселения Новоусманского муниципального района Воронежской области"
(Зарегистрирован 06.04.2026 № 333)
Номер опубликования: 3601202604070007
Дата опубликования: 07.04.2026
Страница №27 из 27:
Увеличить