Официальное опубликование правовых актов
ОФИЦИАЛЬНОЕ ОПУБЛИКОВАНИЕ
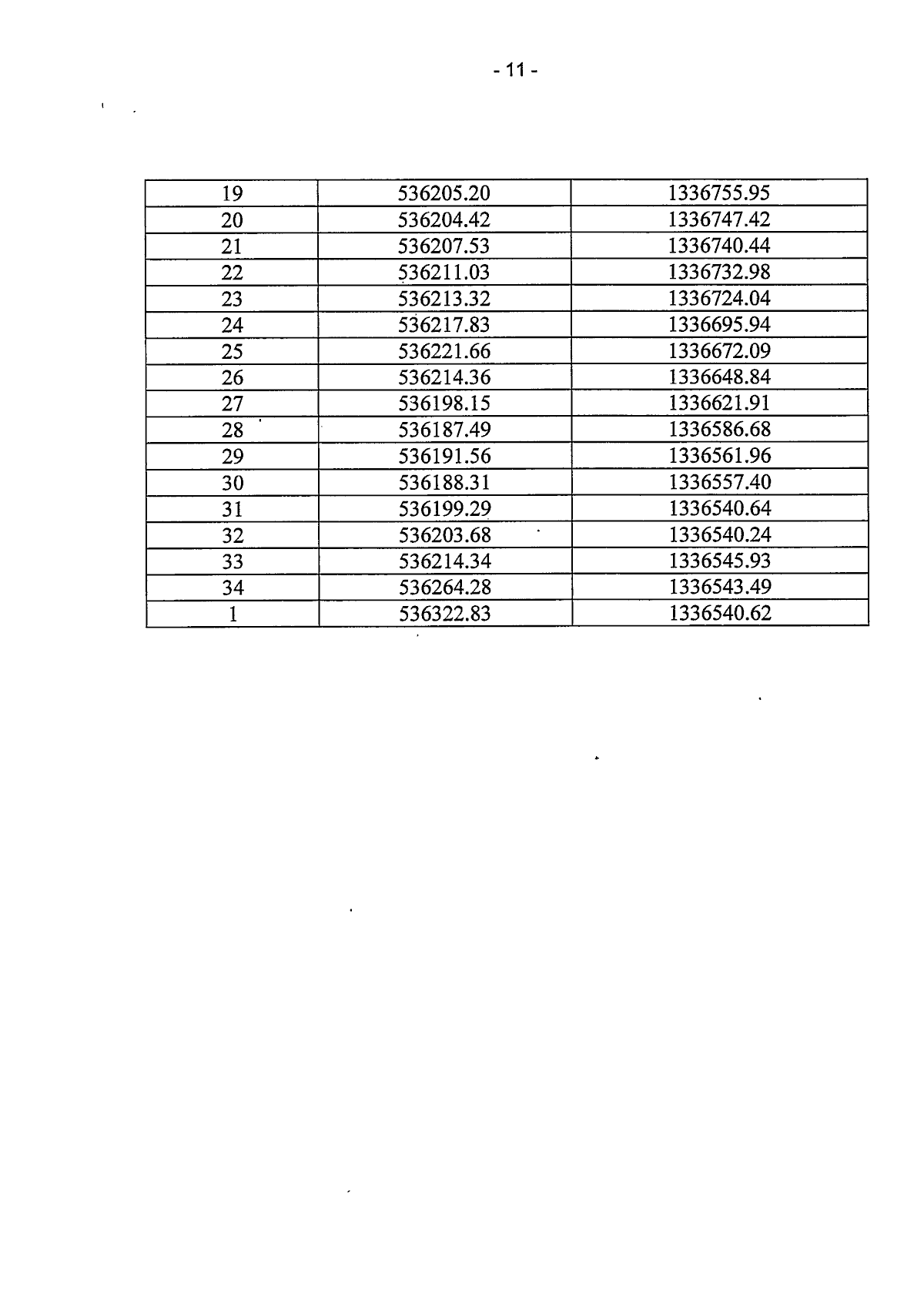
Приказ управления по охране объектов культурного наследия Воронежской области от 02.03.2026 № 71-01-05/31
"Об утверждении границ территорий объектов культурного наследия регионального значения, расположенных на территории Воронежской области"
(Зарегистрирован 06.04.2026 № 317)
Номер опубликования: 3601202604070013
Дата опубликования: 07.04.2026
Страница №11 из 11:
Увеличить