Официальное опубликование правовых актов
ОФИЦИАЛЬНОЕ ОПУБЛИКОВАНИЕ
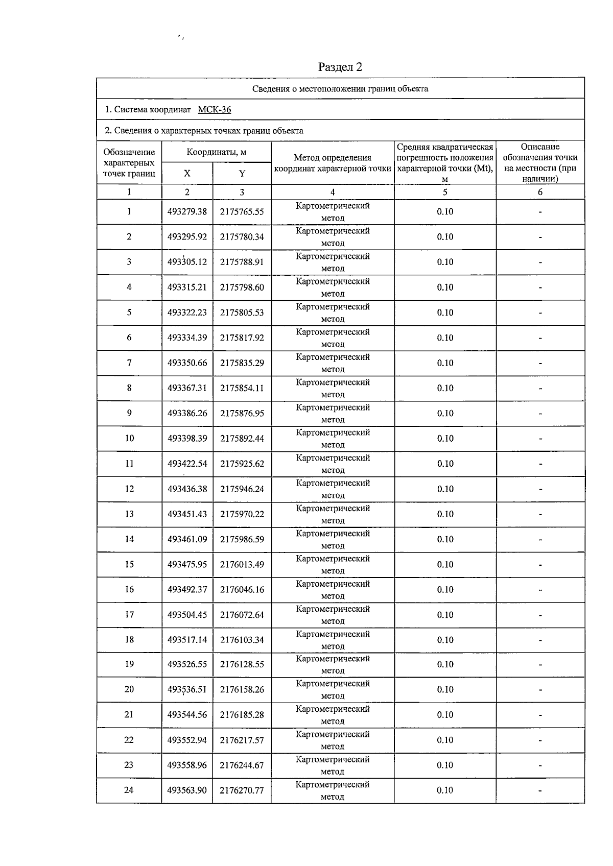
Приказ министерства природных ресурсов и экологии Воронежской области от 20.03.2026 № 149
"Об установлении зон санитарной охраны эксплуатационных скважин №№ 20211470, 20211469 для питьевого, хозяйственно-бытового и технологического водоснабжения ООО "ЭКОНИВА МОЛОКО ВОРОНЕЖ"
(Зарегистрирован 06.04.2026 № 339)
Номер опубликования: 3601202604090002
Дата опубликования: 09.04.2026
Страница №20 из 25:
Увеличить