Официальное опубликование правовых актов
ОФИЦИАЛЬНОЕ ОПУБЛИКОВАНИЕ
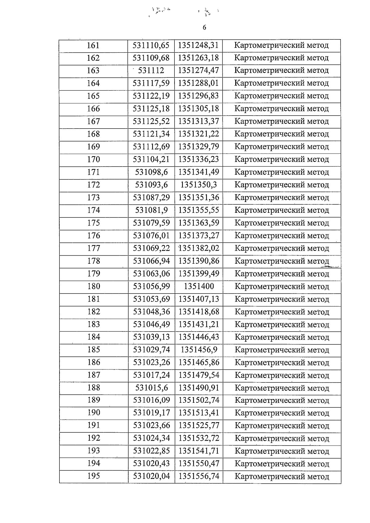
Приказ министерства природных ресурсов и экологии Воронежской области от 17.03.2026 № 146
"Об утверждении описания местоположения береговых линий (границ водного объекта) реки Хавка на территории Верхнехавского муниципального района Воронежской области"
(Зарегистрирован 06.04.2026 № 337)
Номер опубликования: 3601202604090003
Дата опубликования: 09.04.2026
Страница №8 из 78:
Увеличить