Официальное опубликование правовых актов
ОФИЦИАЛЬНОЕ ОПУБЛИКОВАНИЕ
Приказ министерства архитектуры и градостроительства Воронежской области от 26.03.2026 № 45-01-04/138
"О внесении изменений в правила землепользования и застройки Кучугуровского сельского поселения Нижнедевицкого муниципального района Воронежской области"
(Зарегистрирован 14.04.2026 № 407)
Номер опубликования: 3601202604160005
Дата опубликования: 16.04.2026
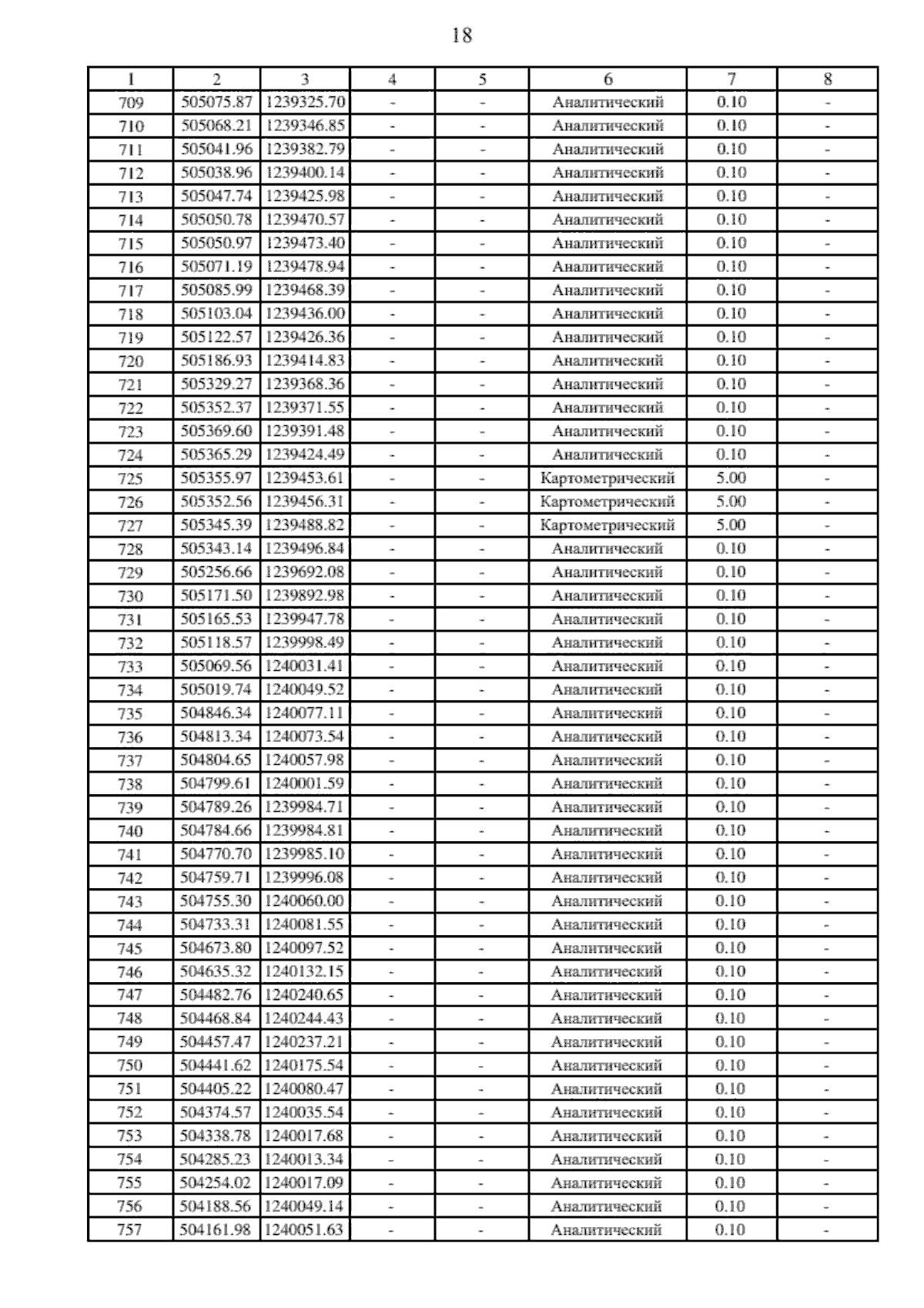
Страница №37 из 77:
Увеличить