Официальное опубликование правовых актов
ОФИЦИАЛЬНОЕ ОПУБЛИКОВАНИЕ
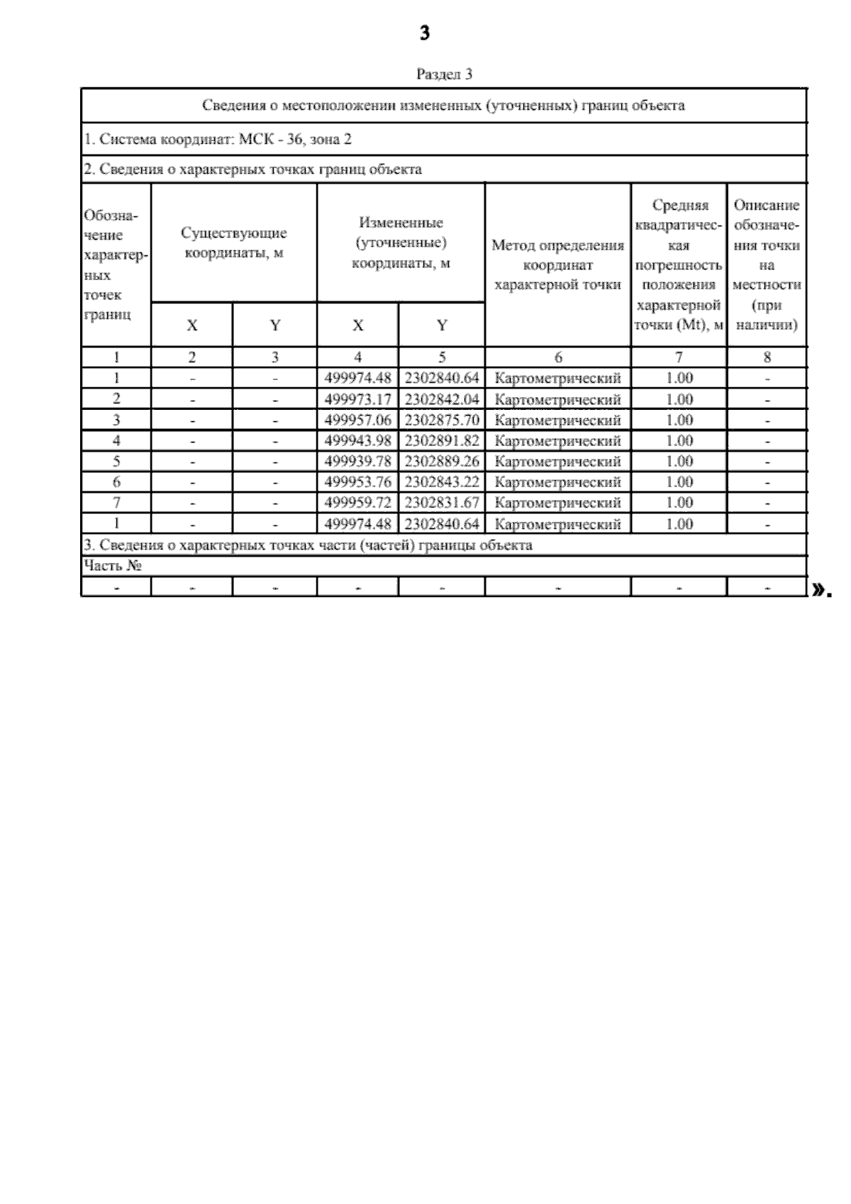
Приказ министерства архитектуры и градостроительства Воронежской области от 19.03.2026 № 45-01-04/118
"О внесении изменения в правила землепользования и застройки Большеалабухского сельского поселения Грибановского муниципального района Воронежской области"
(Зарегистрирован 14.04.2026 № 405)
Номер опубликования: 3601202604160007
Дата опубликования: 16.04.2026
Страница №30 из 30:
Увеличить