Официальное опубликование правовых актов
ОФИЦИАЛЬНОЕ ОПУБЛИКОВАНИЕ
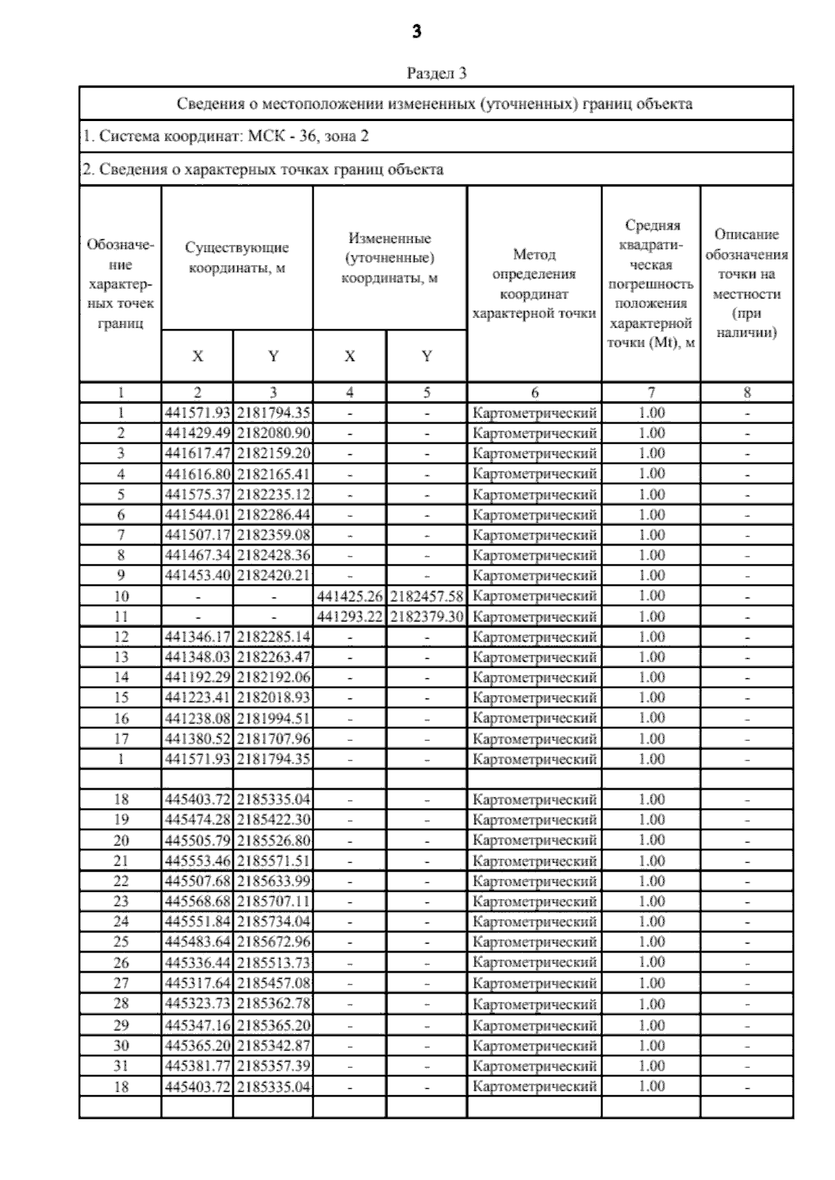
Приказ министерства архитектуры и градостроительства Воронежской области от 27.03.2026 № 45-01-04/143
"О внесении изменений в правила землепользования и застройки Орловского сельского поселения Таловского муниципального района Воронежской области"
(Зарегистрирован 14.04.2026 № 410)
Номер опубликования: 3601202604160010
Дата опубликования: 16.04.2026
Страница №9 из 10:
Увеличить