Официальное опубликование правовых актов
ОФИЦИАЛЬНОЕ ОПУБЛИКОВАНИЕ
Приказ министерства архитектуры и градостроительства Воронежской области от 27.03.2026 № 45-01-04/145
"О внесении изменений в правила землепользования и застройки Краснянского сельского поселения Новохопёрского муниципального района Воронежской области"
(Зарегистрирован 14.04.2026 № 412)
Номер опубликования: 3601202604160011
Дата опубликования: 16.04.2026
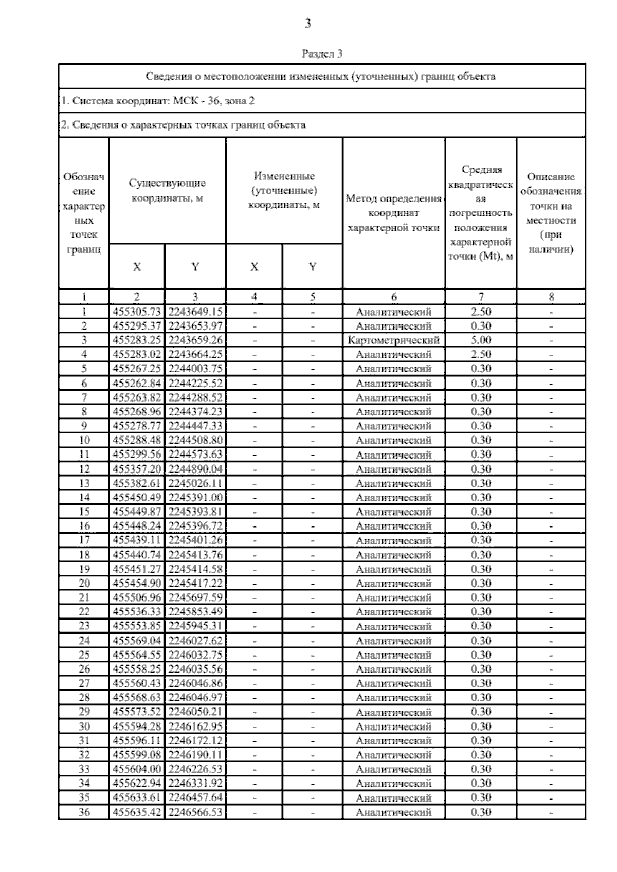
Страница №70 из 90:
Увеличить