Официальное опубликование правовых актов
ОФИЦИАЛЬНОЕ ОПУБЛИКОВАНИЕ
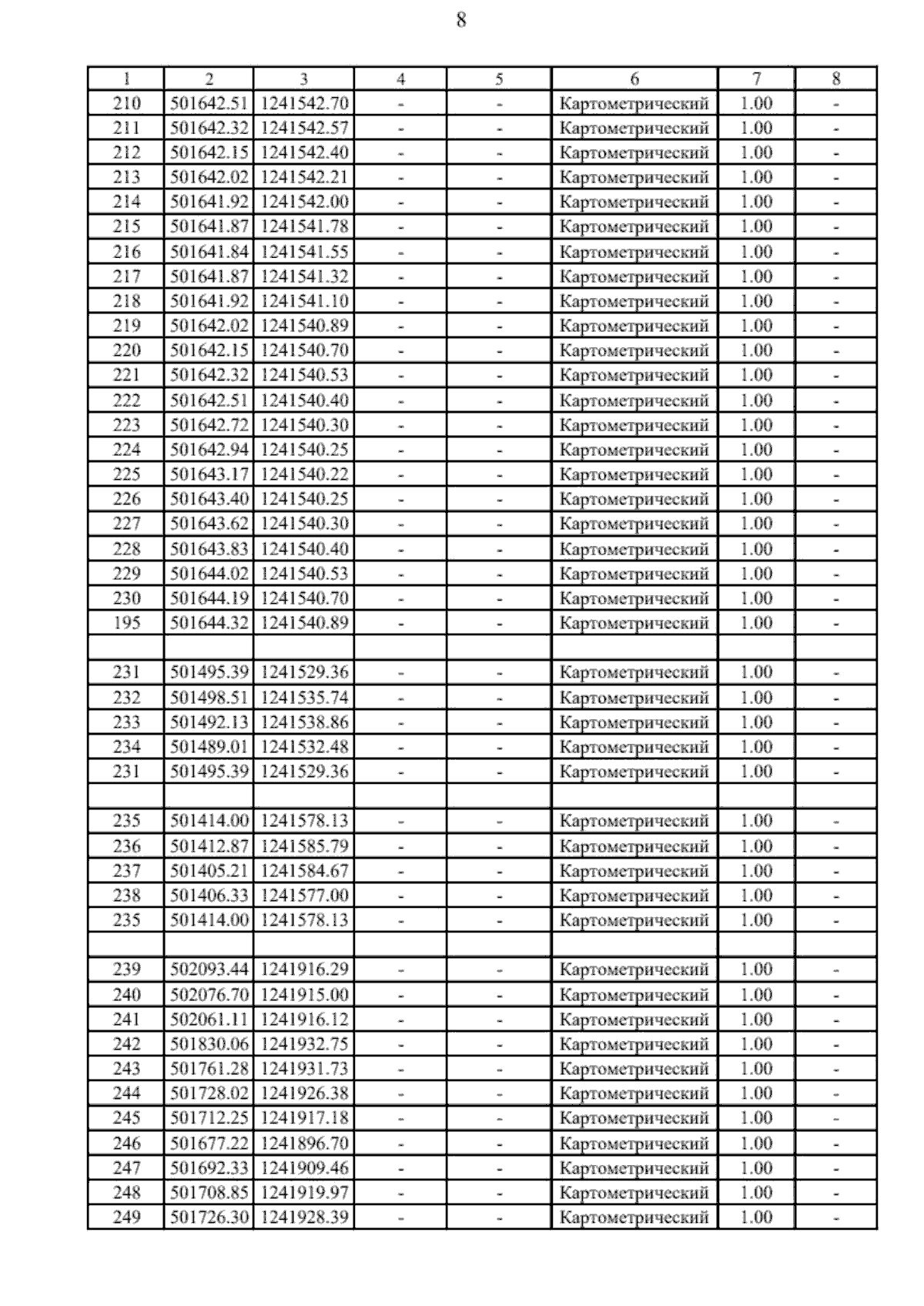
Приказ министерства архитектуры и градостроительства Воронежской области от 27.03.2026 № 45-01-04/144
"О внесении изменений в правила землепользования и застройки Нижнедевицкого сельского поселения Нижнедевицкого муниципального района Воронежской области"
(Зарегистрирован 14.04.2026 № 411)
Номер опубликования: 3601202604160012
Дата опубликования: 16.04.2026
Страница №69 из 110:
Увеличить