Официальное опубликование правовых актов
ОФИЦИАЛЬНОЕ ОПУБЛИКОВАНИЕ
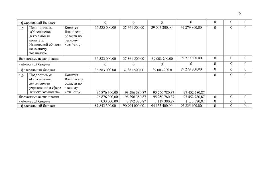
Постановление Правительства Ивановской области от 19.05.2015 № 181-п
"О внесении изменений в постановление Правительства Ивановской области от 13.11.2013 № 448-п "Об утверждении государственной программы Ивановской области "Развитие лесного хозяйства Ивановской области" на 2014 - 2020 годы"
Номер опубликования: 3700201505260021
Дата опубликования: 26.05.2015
Страница №6 из 28:
Увеличить