Официальное опубликование правовых актов
ОФИЦИАЛЬНОЕ ОПУБЛИКОВАНИЕ
Постановление Правительства Ивановской области от 21.12.2015 № 579-п
"О внесении изменений в постановление Правительства Ивановской области от 13.11.2013 № 458-п "Об утверждении государственной программы Ивановской области "Обеспечение доступным и комфортным жильем, объектами инженерной инфраструктуры и услугами жилищно-коммунального хозяйства населения Ивановской области"
Номер опубликования: 3700201512220016
Дата опубликования: 22.12.2015
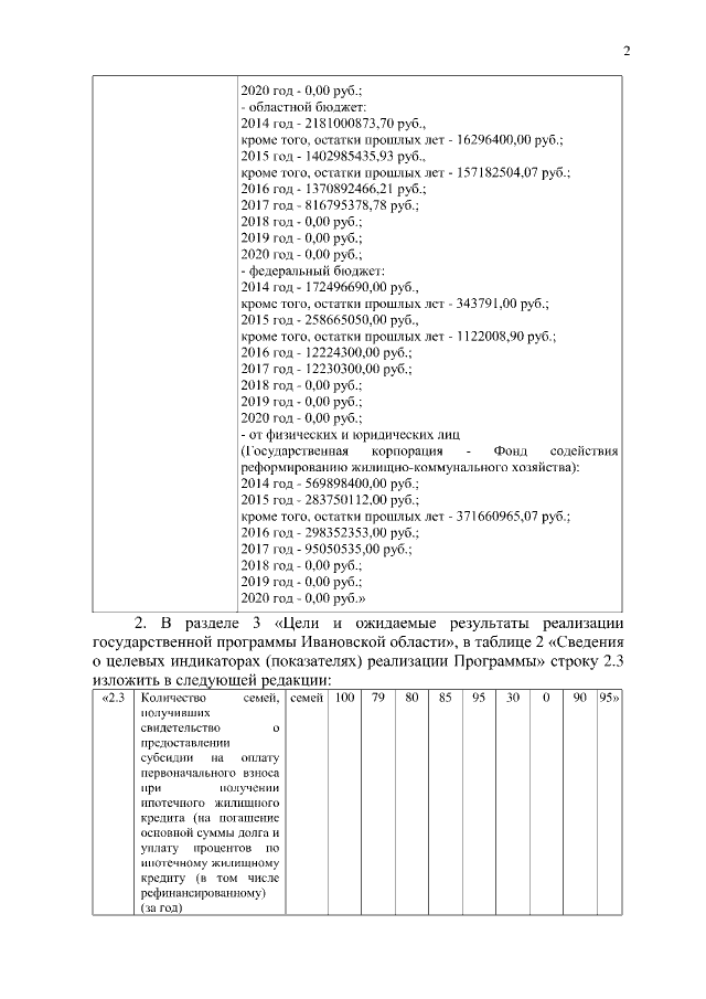
Страница №2 из 58:
Увеличить