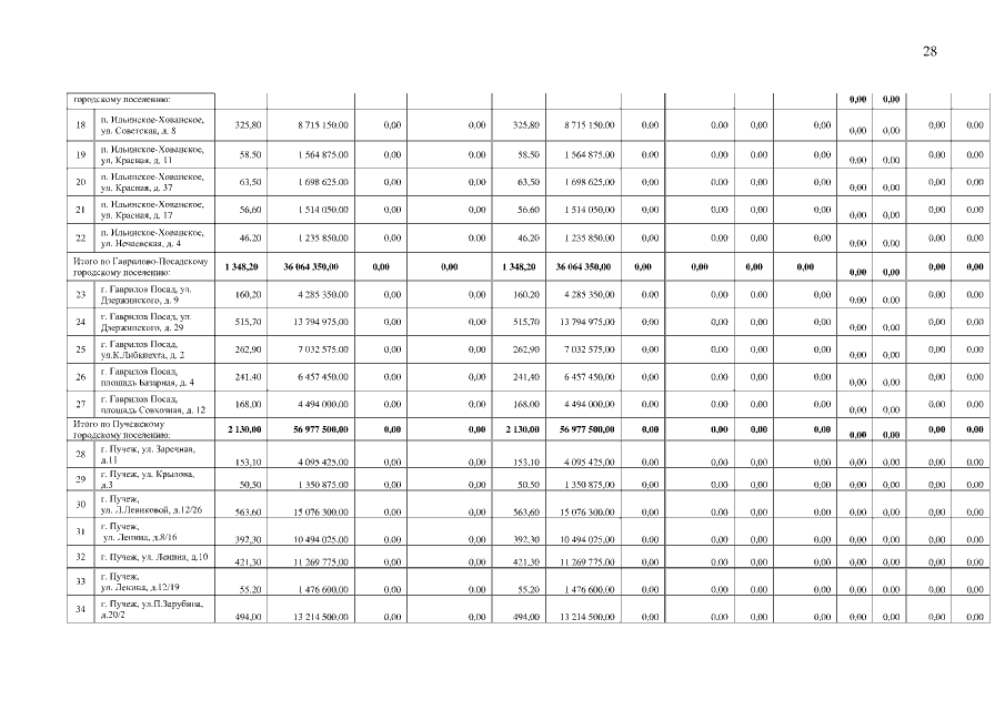
Постановление Правительства Ивановской области от 10.02.2016 № 34-п
"О внесении изменений в постановление Правительства Ивановской области от 15.04.2013 № 134-п "Об утверждении региональной адресной программы "Переселение граждан из аварийного жилищного фонда на территории Ивановской области на 2013 – 2017 годы"
"О внесении изменений в постановление Правительства Ивановской области от 15.04.2013 № 134-п "Об утверждении региональной адресной программы "Переселение граждан из аварийного жилищного фонда на территории Ивановской области на 2013 – 2017 годы"
Номер опубликования: 3700201602120007
Дата опубликования:
12.02.2016
