Официальное опубликование правовых актов
ОФИЦИАЛЬНОЕ ОПУБЛИКОВАНИЕ
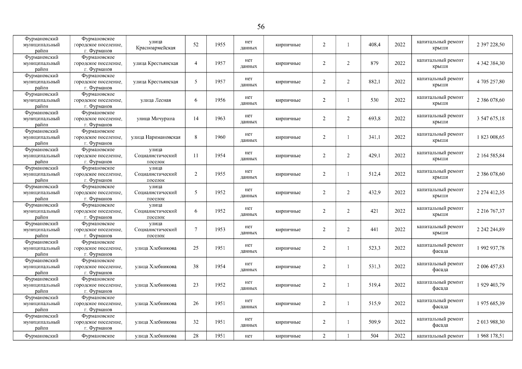
Постановление Правительства Ивановской области от 22.12.2023 № 654-п
"О внесении изменения в постановление Правительства Ивановской области от 05.10.2020 № 487-п «Об утверждении краткосрочного плана реализации региональной программы капитального ремонта общего имущества в многоквартирных домах, расположенных на территории Ивановской области, на 2021 - 2023 годы»"
Номер опубликования: 3700202312220017
Дата опубликования: 22.12.2023
Страница №56 из 92:
Увеличить