Официальное опубликование правовых актов
ОФИЦИАЛЬНОЕ ОПУБЛИКОВАНИЕ
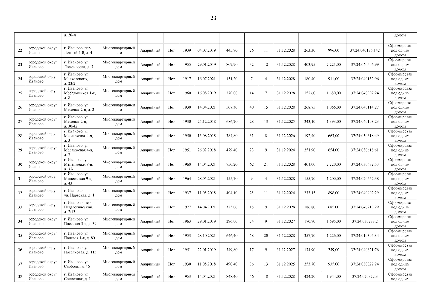
Постановление Правительства Ивановской области от 03.06.2024 № 232-п
"Об утверждении региональной адресной программы "Переселение граждан из аварийного жилищного фонда на территории Ивановской области на 2024 - 2030 годы"
Номер опубликования: 3700202406040007
Дата опубликования: 04.06.2024
Страница №23 из 32:
Увеличить