Официальное опубликование правовых актов
ОФИЦИАЛЬНОЕ ОПУБЛИКОВАНИЕ
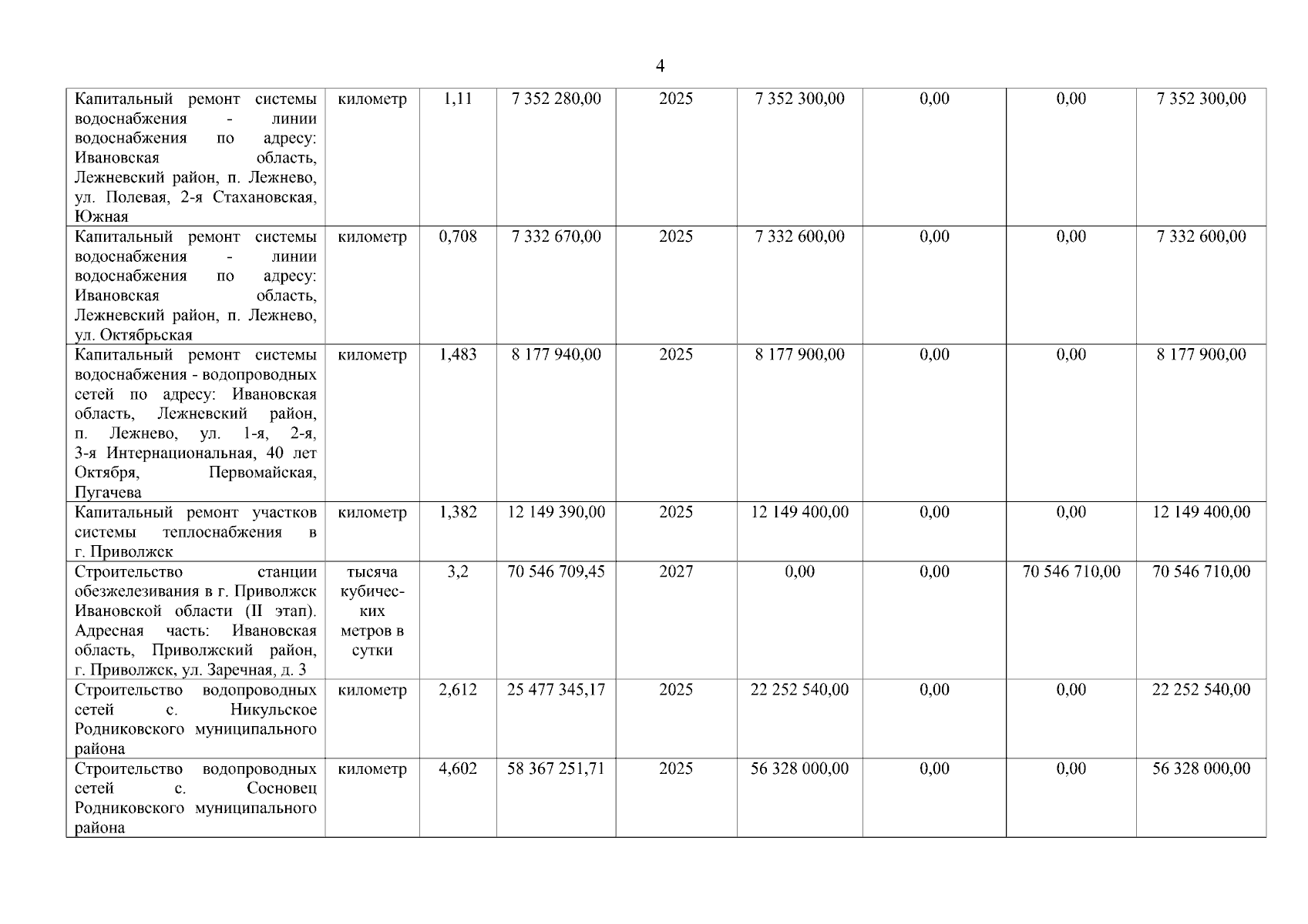
Постановление Правительства Ивановской области от 09.07.2025 № 275-п
"О внесении изменений в постановление Правительства Ивановской области от 06.12.2017 № 458-п "Об утверждении государственной программы Ивановской области “Обеспечение услугами жилищно-коммунального хозяйства населения Ивановской области”"
Номер опубликования: 3700202507100003
Дата опубликования: 10.07.2025
Страница №4 из 6:
Увеличить