Официальное опубликование правовых актов
ОФИЦИАЛЬНОЕ ОПУБЛИКОВАНИЕ
Постановление Правительства Ивановской области от 30.12.2025 № 576-п
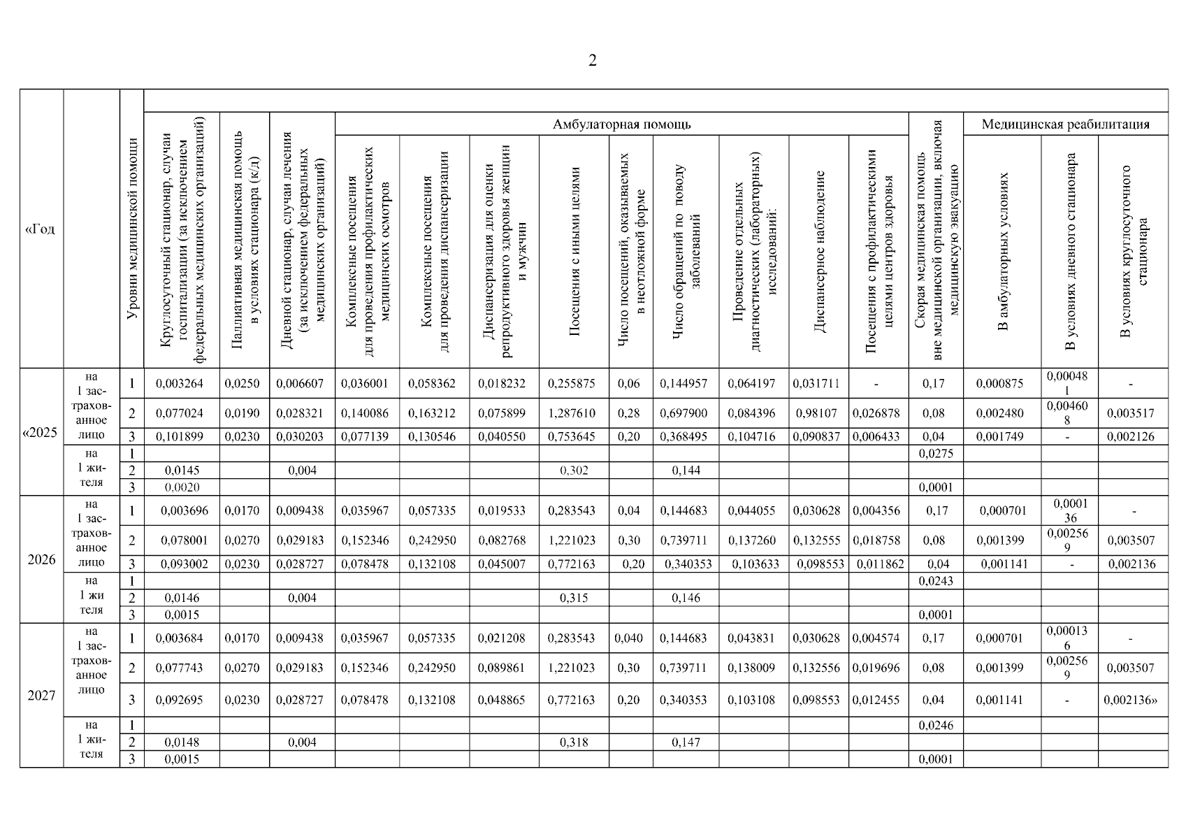
"О внесении изменений в постановление Правительства Ивановской области от 14.02.2025 № 54-п "Об утверждении Территориальной программы государственных гарантий бесплатного оказания гражданам медицинской помощи на территории Ивановской области на 2025 год и на плановый период 2026 и 2027 годов"
Номер опубликования: 3700202512300003
Дата опубликования: 30.12.2025
Страница №2 из 18:
Увеличить