Официальное опубликование правовых актов
ОФИЦИАЛЬНОЕ ОПУБЛИКОВАНИЕ
Постановление Правительства Ивановской области от 14.01.2026 № 1-п
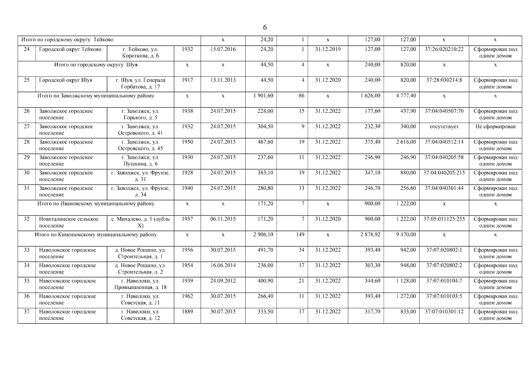
"О внесении изменений в постановление Правительства Ивановской области от 09.04.2019 № 131-п "Об утверждении региональной адресной программы "Переселение граждан из аварийного жилищного фонда на территории Ивановской области на 2019 - 2024 годы"
Номер опубликования: 3700202601160002
Дата опубликования: 16.01.2026
Страница №6 из 19:
Увеличить