Официальное опубликование правовых актов
ОФИЦИАЛЬНОЕ ОПУБЛИКОВАНИЕ
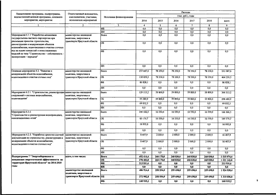
Постановление Правительства Иркутской области от 10.04.2015 № 138-пп
"О внесении изменений в государственную программу Иркутской области "Развитие жилищно-коммунального хозяйства Иркутской области" на 2014-2018 годы"
Номер опубликования: 3800201504140001
Дата опубликования: 14.04.2015
Страница №49 из 68:
Увеличить