Официальное опубликование правовых актов
ОФИЦИАЛЬНОЕ ОПУБЛИКОВАНИЕ
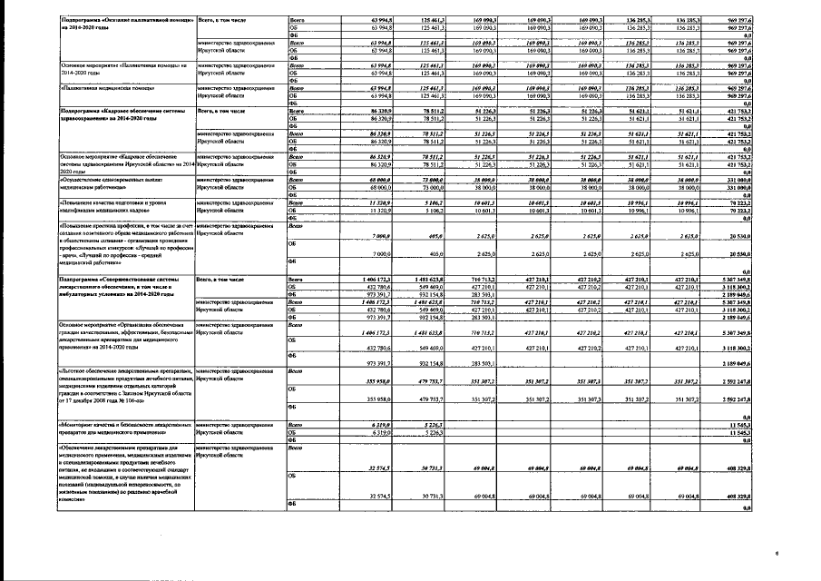
Постановление Правительства Иркутской области от 13.11.2015 № 568-пп
"О внесении изменений в государственную программу Иркутской области "Развитие здравоохранения" на 2014-2020 годы"
Номер опубликования: 3800201511190009
Дата опубликования: 19.11.2015
Страница №31 из 50:
Увеличить