Официальное опубликование правовых актов
ОФИЦИАЛЬНОЕ ОПУБЛИКОВАНИЕ
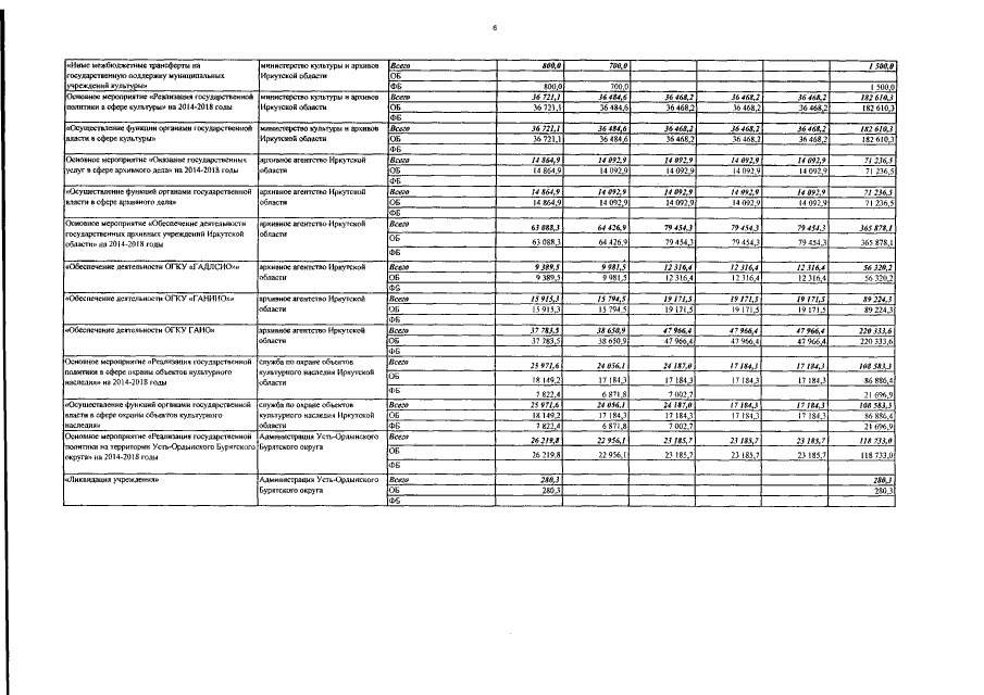
Постановление Правительства Иркутской области от 13.11.2015 № 572-пп
"О внесении изменений в государственную программу Иркутской области "Развитие культуры" на 2014-2018 годы"
Номер опубликования: 3800201511190011
Дата опубликования: 19.11.2015
Страница №35 из 49:
Увеличить