Официальное опубликование правовых актов
ОФИЦИАЛЬНОЕ ОПУБЛИКОВАНИЕ
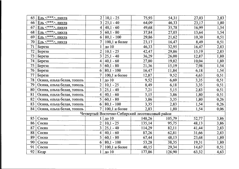
Постановление Правительства Иркутской области от 15.04.2016 № 222-пп
"О внесении изменений в отдельные нормативные правовые акты Иркутской области"
Номер опубликования: 3800201604220003
Дата опубликования: 22.04.2016
Страница №5 из 12:
Увеличить