Официальное опубликование правовых актов
ОФИЦИАЛЬНОЕ ОПУБЛИКОВАНИЕ
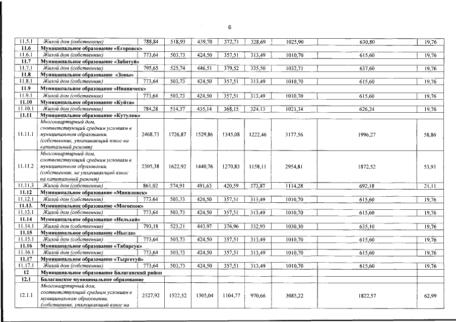
Постановление Правительства Иркутской области от 07.06.2016 № 352-пп
"О размерах регионального стандарта стоимости жилищно-коммунальных услуг, дифференцированной по муниципальным образованиям Иркутской области, на 2016 год"
Номер опубликования: 3800201606100002
Дата опубликования: 10.06.2016
Страница №7 из 67:
Увеличить