Официальное опубликование правовых актов
ОФИЦИАЛЬНОЕ ОПУБЛИКОВАНИЕ
Постановление Правительства Иркутской области от 20.09.2016 № 590-пп
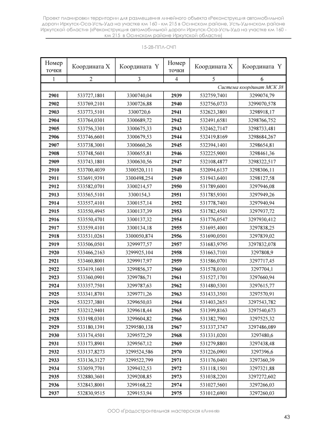
"Об утверждении проекта планировки территории и проекта межевания территории для размещения линейного объекта регионального значения "Реконструкция автомобильной дороги Иркутск-Оса-Усть-Уда на участке км 160-км 215 в Осинском районе, Усть-Удинском районе Иркутской области" ("Реконструкция автомобильной дороги Иркутск-Оса-Усть-Уда на участке км 160-км 215 в Осинском районе Иркутской области")"
Номер опубликования: 3800201609280003
Дата опубликования: 28.09.2016
Страница №46 из 215:
Увеличить