Официальное опубликование правовых актов
ОФИЦИАЛЬНОЕ ОПУБЛИКОВАНИЕ
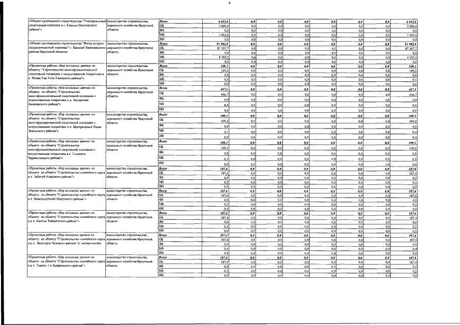
Постановление Правительства Иркутской области от 03.10.2016 № 643-пп
"О внесении изменений в государственную программу Иркутской области "Развитие физической культуры и спорта" на 2014 - 2020 годы"
Номер опубликования: 3800201610060002
Дата опубликования: 06.10.2016
Страница №32 из 41:
Увеличить