Официальное опубликование правовых актов
ОФИЦИАЛЬНОЕ ОПУБЛИКОВАНИЕ
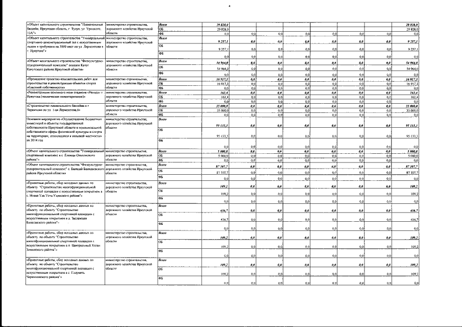
Постановление Правительства Иркутской области от 24.10.2016 № 686-пп
"О внесении изменений в государственную программу Иркутской области "Развитие физической культуры и спорта" на 2014 - 2020 годы"
Номер опубликования: 3800201610240003
Дата опубликования: 24.10.2016
Страница №9 из 18:
Увеличить