Официальное опубликование правовых актов
ОФИЦИАЛЬНОЕ ОПУБЛИКОВАНИЕ
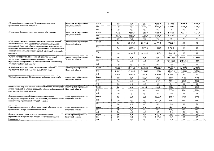
Постановление Правительства Иркутской области от 12.04.2018 № 272-пп
"О внесении изменений в государственную программу Иркутской области "Развитие образования" на 2014 - 2020 годы"
Номер опубликования: 3800201804160005
Дата опубликования: 16.04.2018
Страница №64 из 82:
Увеличить