Официальное опубликование правовых актов
ОФИЦИАЛЬНОЕ ОПУБЛИКОВАНИЕ
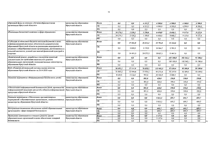
Постановление Правительства Иркутской области от 28.04.2018 № 325-пп
"О внесении изменений в государственную программу Иркутской области "Развитие образования" на 2014 - 2020 годы"
Номер опубликования: 3800201805070002
Дата опубликования: 07.05.2018
Страница №63 из 81:
Увеличить