Официальное опубликование правовых актов
ОФИЦИАЛЬНОЕ ОПУБЛИКОВАНИЕ
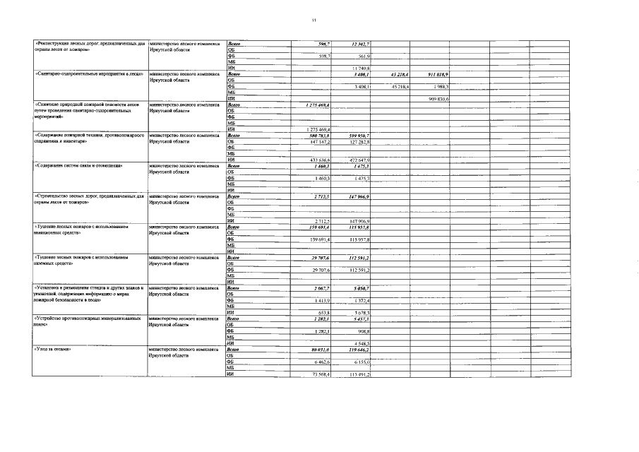
Постановление Правительства Иркутской области от 12.07.2018 № 504-пп
"О внесении изменений в государственную программу Иркутской области "Охрана окружающей среды" на 2014-2020 годы"
Номер опубликования: 3800201807180001
Дата опубликования: 18.07.2018
Страница №57 из 66:
Увеличить