Официальное опубликование правовых актов
ОФИЦИАЛЬНОЕ ОПУБЛИКОВАНИЕ
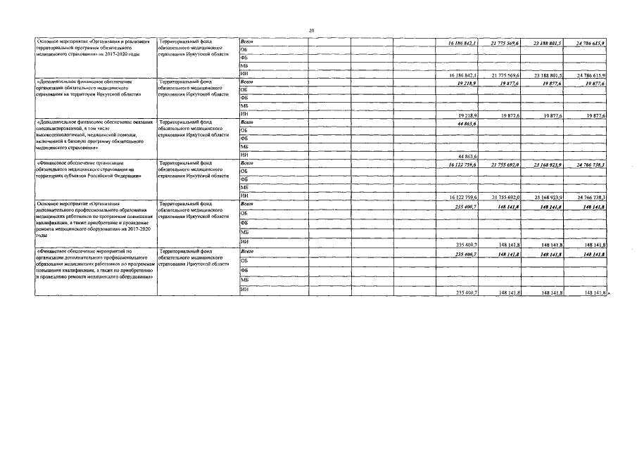
Постановление Правительства Иркутской области от 07.09.2018 № 647-пп
"О внесении изменений в государственную программу Иркутской области "Развитие здравоохранения" на 2014 - 2020 годы"
Номер опубликования: 3800201809110001
Дата опубликования: 11.09.2018
Страница №41 из 46:
Увеличить