Официальное опубликование правовых актов
ОФИЦИАЛЬНОЕ ОПУБЛИКОВАНИЕ
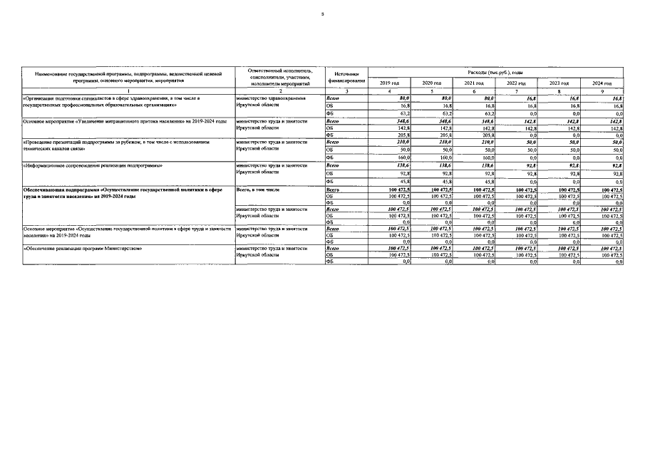
Постановление Правительства Иркутской области от 26.10.2018 № 770-пп
"Об утверждении государственной программы Иркутской области "Труд и занятость" на 2019 - 2024 годы"
Номер опубликования: 3800201810290005
Дата опубликования: 29.10.2018
Страница №81 из 94:
Увеличить