Официальное опубликование правовых актов
ОФИЦИАЛЬНОЕ ОПУБЛИКОВАНИЕ
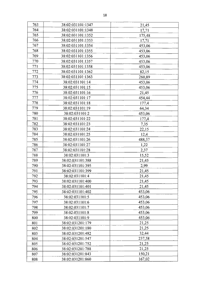
Постановление Правительства Иркутской области от 02.11.2018 № 808-пп
"О результатах определения кадастровой стоимости земельных участков в составе земель промышленности, энергетики, транспорта, связи, радиовещания, телевидения, информатики, земель для обеспечения космической деятельности, земель обороны, безопасности и земель иного специального назначения на территории Иркутской области"
Номер опубликования: 3800201811080004
Дата опубликования: 08.11.2018
Страница №19 из 235:
Увеличить