Официальное опубликование правовых актов
ОФИЦИАЛЬНОЕ ОПУБЛИКОВАНИЕ
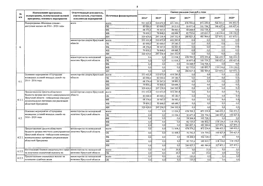
Постановление Правительства Иркутской области от 05.12.2018 № 893-пп
"О внесении изменений в государственную программу Иркутской области "Доступное жилье" на 2014 - 2020 годы"
Номер опубликования: 3800201812100009
Дата опубликования: 10.12.2018
Страница №42 из 48:
Увеличить