Официальное опубликование правовых актов
ОФИЦИАЛЬНОЕ ОПУБЛИКОВАНИЕ
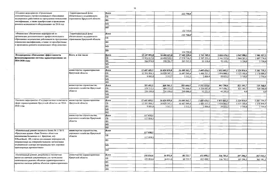
Постановление Правительства Иркутской области от 11.12.2018 № 914-пп
"О внесении изменений в государственную программу Иркутской области "Развитие здравоохранения" на 2014 - 2020 годы"
Номер опубликования: 3800201812130015
Дата опубликования: 13.12.2018
Страница №56 из 65:
Увеличить