Официальное опубликование правовых актов
ОФИЦИАЛЬНОЕ ОПУБЛИКОВАНИЕ
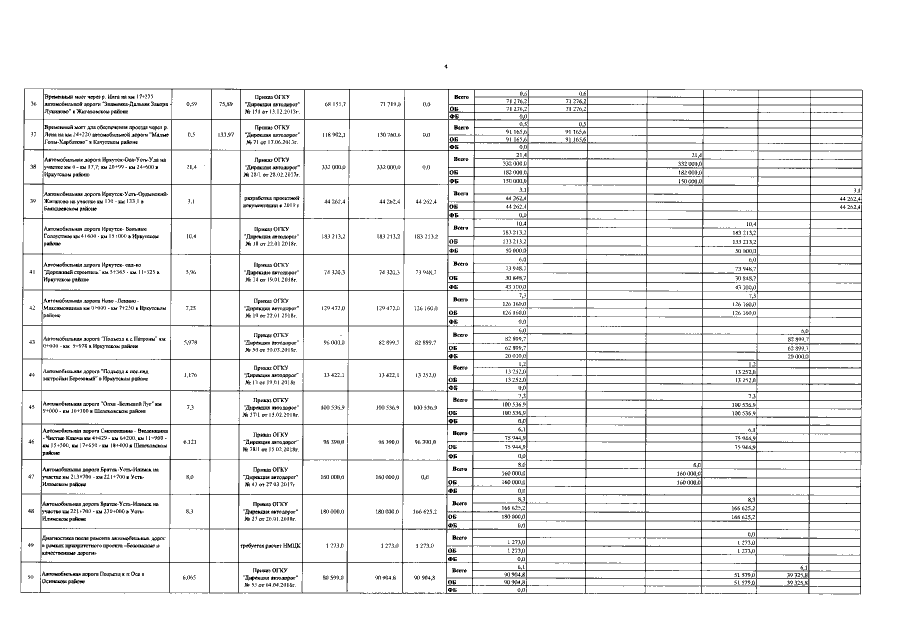
Постановление Правительства Иркутской области от 11.12.2018 № 918-пп
"О внесении изменений в государственную программу Иркутской области "Реализация государственной политики в сфере строительства, дорожного хозяйства" на 2014 - 2020 годы"
Номер опубликования: 3800201812130016
Дата опубликования: 13.12.2018
Страница №8 из 40:
Увеличить