Официальное опубликование правовых актов
ОФИЦИАЛЬНОЕ ОПУБЛИКОВАНИЕ
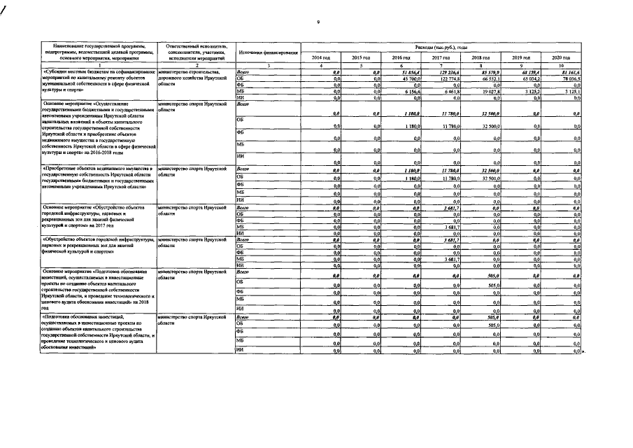
Постановление Правительства Иркутской области от 14.12.2018 № 934-пп
"О внесении изменений в государственную программу Иркутской области "Развитие физической культуры и спорта" на 2014 - 2020 годы"
Номер опубликования: 3800201812180003
Дата опубликования: 18.12.2018
Страница №33 из 33:
Увеличить