Официальное опубликование правовых актов
ОФИЦИАЛЬНОЕ ОПУБЛИКОВАНИЕ
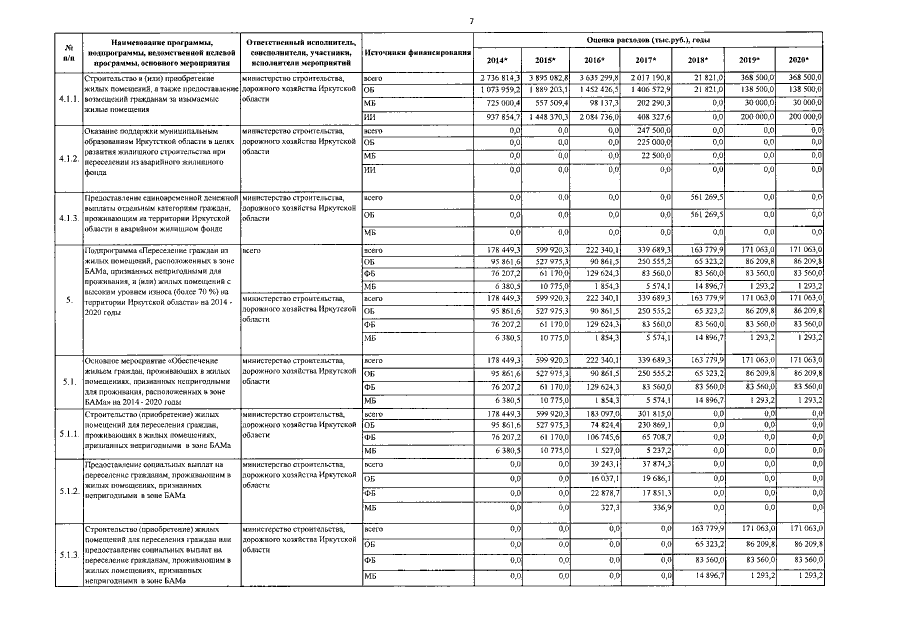
Постановление Правительства Иркутской области от 28.12.2018 № 981-пп
"О внесении изменений в государственную программу Иркутской области "Доступное жилье" на 2014 - 2020 годы"
Номер опубликования: 3800201812290012
Дата опубликования: 29.12.2018
Страница №31 из 37:
Увеличить