Официальное опубликование правовых актов
ОФИЦИАЛЬНОЕ ОПУБЛИКОВАНИЕ
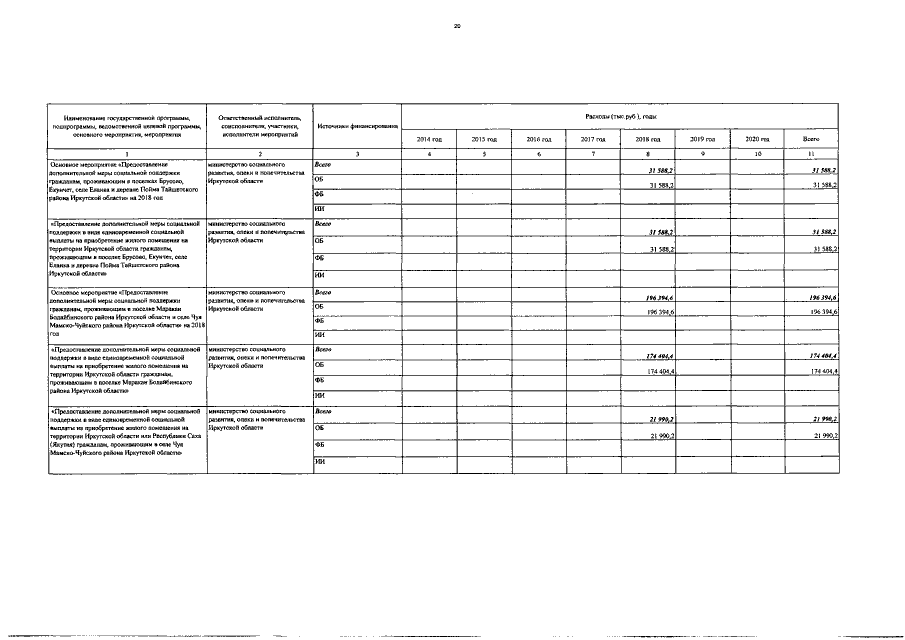
Постановление Правительства Иркутской области от 29.12.2018 № 991-пп
"О внесении изменений в государственную программу Иркутской области "Социальная поддержка населения" на 2014 - 2020 годы"
Номер опубликования: 3800201812290015
Дата опубликования: 29.12.2018
Страница №24 из 140:
Увеличить