Официальное опубликование правовых актов
ОФИЦИАЛЬНОЕ ОПУБЛИКОВАНИЕ
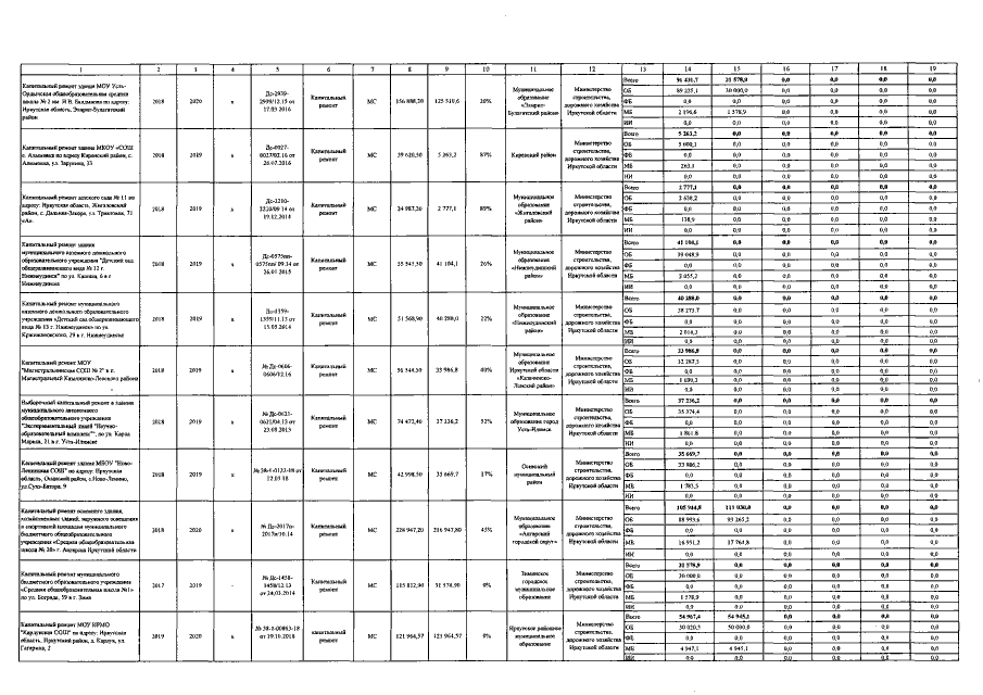
Постановление Правительства Иркутской области от 11.02.2019 № 89-пп
"О внесении изменений в государственную программу Иркутской области "Развитие образования" на 2019 - 2024 годы"
Номер опубликования: 3800201902130004
Дата опубликования: 13.02.2019
Страница №15 из 69:
Увеличить