Официальное опубликование правовых актов
ОФИЦИАЛЬНОЕ ОПУБЛИКОВАНИЕ
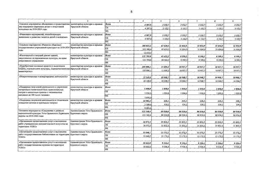
Постановление Правительства Иркутской области от 28.06.2019 № 517-пп
"О внесении изменений в государственную программу Иркутской области "Развитие культуры" на 2019 - 2024 годы"
Номер опубликования: 3800201907050005
Дата опубликования: 05.07.2019
Страница №13 из 31:
Увеличить