Официальное опубликование правовых актов
ОФИЦИАЛЬНОЕ ОПУБЛИКОВАНИЕ
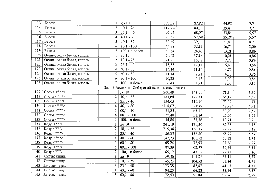
Постановление Правительства Иркутской области от 10.07.2019 № 528-пп
"О внесении изменения в приложение к постановлению администрации Иркутской области от 29 декабря 2007 года № 304-па"
Номер опубликования: 3800201907160001
Дата опубликования: 16.07.2019
Страница №6 из 10:
Увеличить