Официальное опубликование правовых актов
ОФИЦИАЛЬНОЕ ОПУБЛИКОВАНИЕ
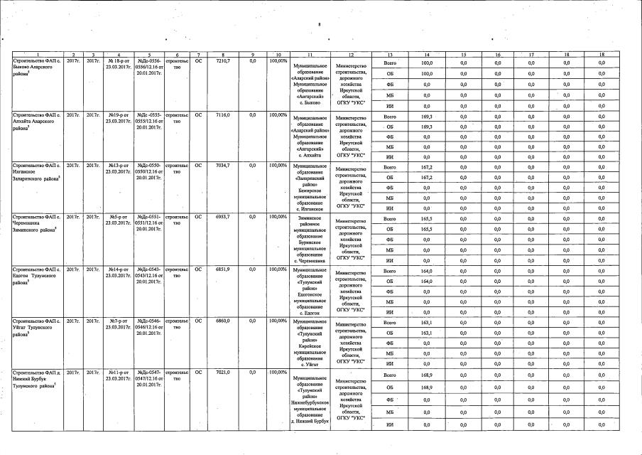
Постановление Правительства Иркутской области от 22.07.2019 № 573-пп
"О внесении изменений в государственную программу Иркутской области "Развитие сельского хозяйства и регулирование рынков сельскохозяйственной продукции, сырья и продовольствия" на 2019 - 2024 годы"
Номер опубликования: 3800201907240005
Дата опубликования: 24.07.2019
Страница №13 из 74:
Увеличить